
Elektron® WE43B
A high strength magnesium-based casting alloy developed by Luxfer MEL Technologies for use at temperatures up to 300˚C.
Product information
This alloy maintains its mechanical properties at elevated temperatures, without the use of either silver or thorium. The alloy is stable for long term exposure up to 250˚C.
Elektron® WE43B also has excellent corrosion resistance characteristics.
- UNS No. M18430
- ASTM B80
- AMS 4427
- MAM 4427
- AECMA MG-C96002
- ISO 16220: MC95320
- Yttrium: 3.7–4.3%
- Rare earths: 2.4–4.4%
- Zirconium: 0.4% min
- Magnesium: Balance
The alloy develops its optimum properties in the fully heat treated condition ie:
- Solution heat treat for 8 hours at 525˚C
- Air cool, hot water or polymer quench
- Age for 16 hours at 250˚C, Air cool
- Specific gravity: 1.84
- Coefficient of thermal expansion: 26.7 x10-6K-1
- Thermal conductivity: 51 Wm-1K-1
- Specific heat: 966 Jkg-1K-1
- Electrical resistivity: 148 nΩm
- Modulus of elasticity: 45 x 103 MPa
- Poissons ratio: 0.27
- Melting range: 540–640˚C
- Damping index: 0.09
- Vickers hardness: 85–105
Minimum specification tensile properties:
- 0.2% proof stress: 172 MPa
- Tensile strength: 220 MPa
- Elongation: 2%
Castability
Fine grained and pressure tight with good casting characteristics.
Pattern makers shrinkage factor
1.5%
Weldability
Fully weldable by the tungsten arc inert gas (TIG) process, using filler rods of the parent alloy composition.
Machining
Elektron WE43B castings, like all magnesium alloy castings, machine faster than any other metal. Providing the geometry of the part allows, the limiting factor is the power and speed of the machine rather than the quality of the tool material. The power required per cubic centimetre of metal removed varies from 9 to 14 watts per minute depending on the operation.
Surface treatment
Normal protective treatments apply for Elektron WE43B but some chromating baths may need to be modified for the satisfactory treatment of castings. Please refer to Luxfer MEL Technologies Design Guide.
Corrosion resistance
- ASTM B117 salt spray test
- Corrosion rate: 0.1–0.2 mg/cm2/day
- 10 mpy
Typical tensile properties
- 0.2% proof stress: 185 MPa
- Tensile strength: 265 MPa
- Elongation: 7%
Typical compressive properties
- 0.2% proof stress: 187 MPa
- Ultimate strength: 323 MPa
Typical shear properties
Ultimate stress: 160 MPa
Fracture toughness
KIC: 15.9 MPa m1/2
Fatigue properties

Figure 1. Rotating bend fatigue test.
Typical tensile properties

Figure 2. Effect of temperature on tensile properties.
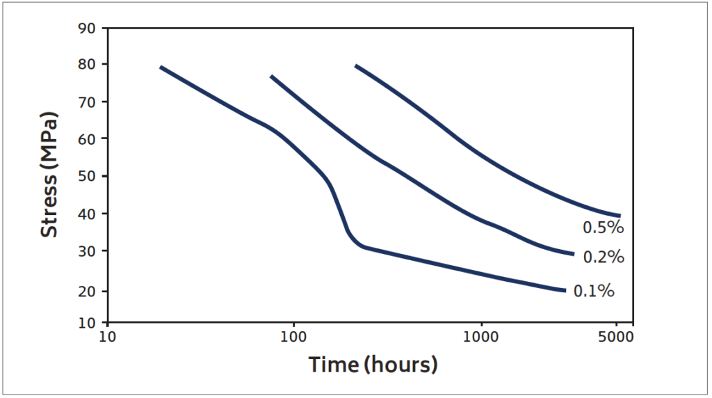
Creep properties

Figure 3. Stress / time relationship for specified creep strains at 200˚C.

Figure 3. Stress / time relationship for specified creep strains at 200˚C.
Fatigue properties

Figure 5. Rotating bend fatigue test.
Table 1. Cut up properties on samples taken from actual castings.

Downloads and support
Need to speak to an expert? Message Daniel

Daniel Bacci
Regional Growth Leader, EMEA
Responsible for driving commercial growth across defence and elite motorsport markets. Daniel works closely with OEMs and prime contractors to develop mission-critical applications for advanced magnesium technologies, drawing on a background in financial markets in London, New York and Asia, as well as advanced industrial sectors.
Need to speak to an expert? Message Thibaut

Thibaut Caritey
Technical Sales Engineer
Thibaut leverages a deep engineering foundation and a decade of sales expertise at Luxfer to support the Aerospace and Defense industries. Specializing in Magnesium Castings across European and Asian markets, he ensures that design engineers can confidently select the right materials to meet the rigorous demands of next-generation technology.
